The pound rallied to the highest levels this year against both the US dollar and the euro, following the PM’s statement yesterday. GBPUSD and GBPEUR increased to highs of 1.3288 and 1.1678. But the geopolitical risk events continue to linger as the PM, though, said that a potential Brexit delay is likely to be a one‑off, indicating that there could be a new cliff edge in June – unless parliament votes in favor of a revised deal in two weeks’ time.
We propose a screening framework for assessing the valuation of risk-reversals relative to forward points and volatility levels, for each currency pair.
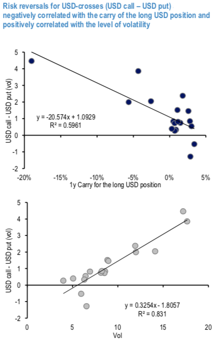
This analysis is carried out both cross-sectionally, across G10 and EM currencies, and over time, and results are broadly consistent with each other.
Over the past few months, on several occasions, we have reviewed the interplay between risk-reversals and carry (forward points), for both speculative and hedging purposes (for instance, EM vol has peaked for now). By screening for systematic relative-value opportunities in the riskies vs. forwards space, we try to explicitly isolate the carry component which could be embedded in risk-reversal prices. The topic is particularly relevant at a time when EURUSD forward points are at a historic all-time high, which increases the interest of looking for derivatives-based strategies for hedging long USD cash positions.
We begin by carrying out a cross-sectional analysis, by comparing market parameters as of today. We focus on a set of liquid USD- G10 and EM crosses. Regardless of the market convention on each currency pair, we store risk- reversals in the format of (3M, 25delta) USD call – USD put, in vol points; similarly, we store the carry (in %, annualized, from the 3M forward) corresponding to the long USD/CCY position, and 3M ATM vols.
In the above chart, we refer to the JPM’s analysis, wherein, the current relationship between USD riskies and the carry embedded in long USD positions, across the 18 pairs considered. There is a clear, negative correlation between the two sets of assets, i.e. wider carry calls for a more negative skew. For the high-carry / high-beta assets, this is understood as the need for hedging via options positive carry positions as implemented in the cash market. Courtesy: JPM
Currency Strength Index: FxWirePro's hourly GBP spot index is flashing 150 (which is bullish), while hourly USD spot index was at -123 (highly bearish) while articulating (at 12:48 GMT).
For more details on the index, please refer below weblink: http://www.fxwirepro.com/currencyindex


Energy Sector Outlook 2025: AI's Role and Market Dynamics
U.S. Stocks vs. Bonds: Are Diverging Valuations Signaling a Shift?
US Futures Rise as Investors Eye Earnings, Inflation Data, and Wildfire Impacts
UBS Predicts Potential Fed Rate Cut Amid Strong US Economic Data
Moody's Upgrades Argentina's Credit Rating Amid Economic Reforms
Gold Prices Slide as Rate Cut Prospects Diminish; Copper Gains on China Stimulus Hopes
U.S. Banks Report Strong Q4 Profits Amid Investment Banking Surge
China's Refining Industry Faces Major Shakeup Amid Challenges
Indonesia Surprises Markets with Interest Rate Cut Amid Currency Pressure
Stock Futures Dip as Investors Await Key Payrolls Data
Bank of America Posts Strong Q4 2024 Results, Shares Rise
Urban studies: Doing research when every city is different
European Stocks Rally on Chinese Growth and Mining Merger Speculation
U.S. Treasury Yields Expected to Decline Amid Cooling Economic Pressures
Moldova Criticizes Russia Amid Transdniestria Energy Crisis
Geopolitical Shocks That Could Reshape Financial Markets in 2025
Oil Prices Dip Slightly Amid Focus on Russian Sanctions and U.S. Inflation Data 



